中文色情网
欢迎访问中文色情网 (呼和浩特市中蒙医研究所),还您身体健康!
门诊时间:08:00—17:00(节假日不休)
设为中文色情网
|
加入收藏
|
地理位置
投诉举报专区
中文色情网
中文色情网概况
中文色情网介绍
科室介绍
院长信箱
地理位置
楼层布局
就医指南
电话查询
医保相关
出诊安排
就诊须知
中文色情网动态
医院视点
公 告
对外交流
财务公开
临床医疗
科室介绍
医疗设备
住院医师培训
科研教学
教学管理
实验室建设
科研管理
科研机构
科研成果
继续教育
人力资源
人事管理
职称晋升
招聘专栏
工会园地
职工之家
民主管理
工会信箱
政策法规
医学常识
科普园地
综合资讯
健康自测
健康讲堂
医护之家
团队简介
专科护理
(榜样就在身边)
护理科研
护理文化
党建行风
行风建设
党建工作
公益事业
一带一路
名医传承
中老名医
在线留言
在线留言
查看留言
常见问题
问卷调查
投诉建议
搜索
您现在的位置:
中文色情网
>
中文色情网动态
>
财务公开
中文色情网动态
Hospital dynamic
医院视点
公 告
对外交流
财务公开
就医指南
就诊须知
地理位置
出诊安排
医保相关
财务公开
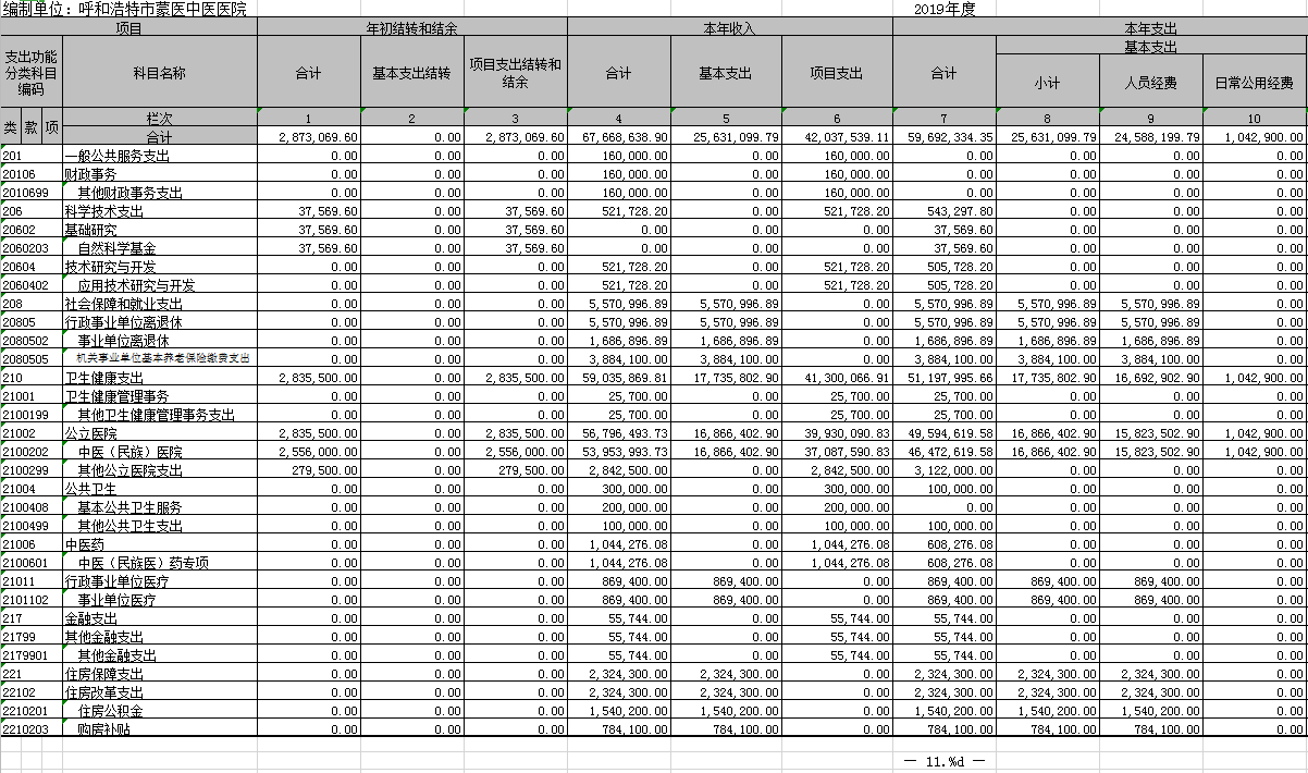
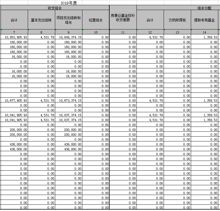
2019年度收入支出决算总表
Time:2020-05-13 浏览次数:5897次
T
上一篇:
2020年预算
下一篇:
2019年项目预算汇总表
相关推荐
TIME:2017-06-07
内蒙古自治区公立医院财务信息公开...
TIME:2018-06-25
项目支出预算明细表
TIME:2020-05-13
2019年项目预算汇总表
TIME:2020-05-13
2018年度收入支出决算总表
TIME:2020-05-13
2018年预算审核表
TIME:2020-05-14
2020年预算